Reinforcement Learning 9

바닥부터 배우는 강화 학습 | 09. 정책 기반 에이전트

'바닥부터 배우는 강화 학습' 9장에는 정책 기반 에이전트를 학습하는 방법에 대해서 설명하고 있습니다. 아래 내용은 공부하면서 핵심 내용을 정리한 것입니다. 참고자료 도서: 바닥부터 배우는 강화 학습 / 9장 정책 기반 에이전트 9.1 Policy Gradient 가치 기반 에이전트가 액션을 선택하는 방식은 결정론적(deterministic): 모든 상태 $s$에 대해 각 상태에서 선택하는 액션이 변하지 않음 정책 기반 에이전트는 확률적 정책(stochastic policy): $\pi(s, a) = \mathbb{P}[a|s]$ 정책 기반 에이전트는 가치 기반 에이전트에 비해 좀 더 유연한 정책을 가질 수 있음 액션 공간(action space)이 연속적(continuous)인 경우 (예, 0에서 1 ..

바닥부터 배우는 강화 학습 | 08. 가치 기반 에이전트

'바닥부터 배우는 강화 학습' 8장에는 가치 기반 에이전트를 학습하는 방법에 대해서 설명하고 있습니다. 아래 내용은 공부하면서 핵심 내용을 정리한 것입니다. 참고자료 도서: 바닥부터 배우는 강화 학습 / 8장 가치 기반 에이전트 이번 챕터에서 다룰 문제 ◦ 모델 프리 ◦ 상태 공간 (state space)과 액션 공간(action space)이 매우 커서 테이블에 담지 못할 상황 강화 학습에 뉴럴넷을 접목시키는 접근법 2가지 ◦ 함수 $v_{\pi}(s)$나 $q_{\pi}(s)$를 뉴럴넷으로 표현하는 방식 ◦ 정책 함수 $\pi(a|s)$를 뉴럴넷으로 표현하는 방식 가치 기반(value-based): 가치 함수에 근거하여 액션을 선택 모델-프리 상황에서는 $v(s)$만 가지고 액션을 정할 수 없기 때문..

바닥부터 배우는 강화 학습 | 07. Deep RL 첫 걸음

'바닥부터 배우는 강화 학습' 7장에는 무수히 많은 MDP를 풀기 위해 딥러닝을 강화학습에 적용하는 방법에 대해서 설명하고 있습니다. 아래 내용은 공부하면서 핵심 내용을 정리한 것입니다. 참고자료 도서: 바닥부터 배우는 강화 학습 / 7장 Deep RL 첫 걸음 7.1 함수를 활용한 근사 바둑의 경우는 바둑판 $19 \times 19$ 격자의 모든 빈칸이 바둑알을 놓을 수 있는 후보지가 되고 그로 인한 상태의 수가 너무 많음 ◦ 체스: $10^{47}$ ◦ 바둑: $10^{170}$ 연속적인 상태 공간(continuous state space): 바둑이나 체스처럼 이산적(discrete)인 형식이 아닌 속도와 같이 연속적인 값을 가질 수 있음. 상태의 개수가 너무 많거나 상태 공간이 연속적이면 ◦ 상태 ..

바닥부터 배우는 강화 학습 | 06. MDP를 모를 때 최고의 정책 찾기

'바닥부터 배우는 강화 학습' 6장에는 MDP를 모르고 있는 경우 최고의 정책을 찾는 방법에 대해서 설명하고 있습니다. 아래 내용은 공부하면서 핵심 내용을 정리한 것입니다. 참고자료 도서: 바닥부터 배우는 강화 학습 / 6장 MDP를 모를 때 최고의 정책 찾기 동영상: https://www.youtube.com/watch?v=2h-FD3e1YgQ&list=PLpRS2w0xWHTcTZyyX8LMmtbcMXpd3s4TU&index=5 6.1 몬테카를로 컨트롤 ◈ 정책 이터레이션을 그대로 사용할 수 없는 이유 첫 번째: 반복적인 정책평가를 사용할 수 없음 모델 프리 상황에서는 보상함수 $r_s^a$와 전이확률 $P_{ss'}^a$을 모르기 때문에 아래 벨만 기대 방정식을 사용할 수 없음 $$v_{\pi}(s)..

바닥부터 배우는 강화 학습 | 05. MDP를 모를 때 밸류 평가하기

'바닥부터 배우는 강화 학습' 5장에는 MDP를 모르고 있는 경우 밸류를 평가하는 방법에 대해서 설명하고 있습니다. 아래 내용은 공부하면서 핵심 내용을 정리한 것입니다. 참고자료 도서: 바닥부터 배우는 강화 학습 / 5장 MDP를 모를 때 밸류 평가하기 동영상: https://www.youtube.com/watch?v=47FyZtBRglI&list=PLpRS2w0xWHTcTZyyX8LMmtbcMXpd3s4TU&index=4 모델 프리 보상 함수 $r_s^a$와 전이 확률 $P_{ss'}^a$를 모르는 상황 '모델을 모른다', 'MDP를 모른다', '모델 프리다'는 같은 의미 5.1 몬테카를로 학습 동전의 앞면 뒷면이 나올 확률을 모르더라도 동전을 여러 번 던져보면 확률을 가늠할 수 있음 동전을 여러 번 ..

바닥부터 배우는 강화 학습 | 04. MDP를 알 때의 플래닝

'바닥부터 배우는 강화 학습' 4장에는 MDP를 알고 있는 경우 정책을 발전시키는 플래닝 방법에 대해서 설명하고 있습니다. 아래 내용은 공부하면서 핵심 내용을 정리한 것입니다. 참고자료 도서: 바닥부터 배우는 강화 학습 / 4장 MDP를 알 때의 플래닝 동영상: https://www.youtube.com/watch?v=rrTxOkbHj-M&t=29s 전제조건 다음 두 조건이 만족하는 상황 ◦ 작은 문제 ◦ MDP를 알 때 플래닝(planning): MDP에 대한 모든 정보를 알 때 이를 이용하여 정책을 개선해 나가는 과정 4.1 밸류 평가하기 - 반복적 정책 평가 반복적 정책 평가(Iterative policy evaluation) 방법을 통해 각 상태 $s$에 대한 가치 함수 $v(s)$ 계산 가능 위..

바닥부터 배우는 강화 학습 | 03. 벨만 방정식

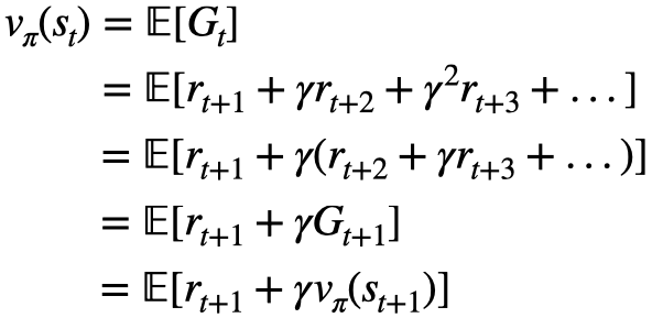
'바닥부터 배우는 강화 학습' 3장에는 밸류를 구할 수 있는 벨만 방정식과 벨만 최적 방정식에 대해서 설명하고 있습니다. 아래 내용은 공부하면서 핵심 내용을 정리한 것입니다. 참고자료 도서: 바닥부터 배우는 강화 학습 / 3장 벨만 방정식 동영상: https://www.youtube.com/watch?v=NMesGSXr8H4 (후반부) 벨만 방정식 밸류를 계산할 때 벨만 방정식을 이용해서 구함 벨만 방정식은 시점 $t$에서의 밸류와 시점 $t+1$에서의 밸류 사이의 관계를 다루며 또 가치 함수와 정책 함수 사이의 관계도 다룸 재귀 함수 벨만 방정식은 기본적으로 재귀적 관계에 대한 식 재귀 함수는 자기 자신을 호출하는 함수 피보나치수열(0, 1, 1, 2, 3, 5, 8, 13, 21, ...)의 재귀적인..

바닥부터 배우는 강화 학습 | 02. 마르코프 결정 프로세스

'바닥부터 배우는 강화 학습' 2장에는 중요한 기본 개념들을 설명하고 있습니다. 예전에 혼란스러웠던 내용인데 명쾌하게 잘 설명이 돼있습니다. 아래 내용은 공부하면서 핵심 내용을 정리한 것입니다. 참고자료 도서: 바닥부터 배우는 강화 학습 / 2장 마르코프 결정 프로세스 동영상: https://www.youtube.com/watch?v=NMesGSXr8H4 2.1 마르코프 프로세스 (Markov Process) ◈ 아이가 잠이 드는 마르코프 프로세스 위 그림의 예는 상태의 종류는 총 5가지, 매 1분마다 다음 상태로 상태 전이(state transition) ◦ $s_0$: 누워있는 상태. 시작 상태 ◦ $s_1$: 일어나서 노는 상태 ◦ $s_2$: 눈을 감은 상태 ◦ $s_3$: 서서히 잠이 오는 상태..

바닥부터 배우는 강화 학습 | 01. 강화 학습이란

강화 학습 공부를 다시 시작합니다. 예전에 관심 있게 봤던 팡요랩의 저가가 쓰신 '바닥부터 배우는 강화 학습'을 첫 번째 공부 교재로 사용하려고 합니다. 아래 내용은 공부하면서 핵심 내용을 정리한 것입니다. 참고자료 도서: 바닥부터 배우는 강화 학습 / 1장 강화 학습이란 동영상: https://www.youtube.com/watch?v=NMesGSXr8H4 1.1 지도 학습과 강화 학습 ◈ 기계 학습의 분류 기계학습 (machine learning) ◦ 강화 학습(reinforcement learning): 지도자의 도움 없이 혼자서 수많은 시행착오(Trial and Error)를 거치면서 학습하는 방법 ◦ 지도 학습(supervised learning): 아버지가 아들에게 자전거 타는 방법을 가르쳐 ..